【DL版】Contrast【結月ゆかり】 – beefst製作所 – BOOTH
前回同様、M3を無事完走することができたため、M3を参加するまでの道のりを書いた。今回もまだまだコロナウイルスは怖いですが、ワクチンが心の支えとなってくれます。
M3 – 音系・メディアミックス同人即売会 (m3net.jp)
参加の動機
私はずっと同人に憧れを抱いていた。「コミケ出たいなぁ」なんて言いながら売れないことを言い訳に向上心すら失っていた。しかし、今年が学生最後の年なので、やれることは全部やり切るためにM3に出る前提で計画を立てていった。憧れといっても、ただモノを売って、それを客が買う。という商売の構図ではなく、距離感に憧れた。Twitterでは常に間合いを意識しているので、向こうが人懐っこい性格でもない限り、私は間合いを保ち続ける。それは望んでそうしているのかというと当然そうではない。それがマナーであると勝手にルールを作って逃げているだけなのである。一方で顔が見えると、不思議なものでそんなルールなどお構いなくなる。バリケードの中で遊ぶことは退屈なのである。
というのが前回の動機もとい建前ですが、前回は敵城視察のようなもので、情報収集なわけです。今回が本当の挑戦です。前回得た知見をもとに準備を進め、改善をしました。そのうえで、手に取ってもらうことが今回の目的となります。
↓前回のまとめ↓
M3準備備忘録【M3-2021春】 – beefst interlude (beef-st.com)
①作品について – 知見・機材導入
楽曲制作のフレームワーク(R3) – beefst interlude (beef-st.com)
GENELEC 8020DPMを導入しました。【スピーカー】 – beefst interlude (beef-st.com)
IQ3でもわかるミキシング【コンプレッサー・うなり】– beefst interlude (beef-st.com)
IQ3でもわかるミキシングフロー– beefst interlude (beef-st.com)
コストを固定した制作によって圧倒的成長【時短】 – beefst interlude (beef-st.com)
②作品について – 備忘録
Synthesizer V 弦巻マキの使用感・ゆかマキ革命制作備忘録 – beefst interlude (beef-st.com)
人生はタワーディフェンス制作備忘録/Unisum Mastering Compressorの導入/余談 – beefst interlude (beef-st.com)
ドールマニア制作備忘録 – beefst interlude (beef-st.com)
アポカリプス制作備忘録/Grove Bassの導入 – beefst interlude (beef-st.com)
③発表準備
④結果・感想

現地で販売したCDは、新譜と旧譜を合わせて21部であった。前回は5枚だったので、4倍多く売れたことになる。感謝してもしきれない。今回の目標は10部でした。それでも不安はありましたが、開始後一時間くらいからサークルスペースがあったまってきて、一人では回転させられなくなったのが印象深いです。前回は来ないなぁ、来るかなの時間が沢山あって、売り子と私がそれぞれほかのサークルがどのようなことをしているのか視察して、改善点を見つけてくるということをしてました。今回はそんなことをしてる暇さえなかった。とりわけ僕は新規客にアルバムのコンセプトを語る役割があったので、離れるにも離れられない状況にありました。嬉しい悲鳴ってやつです。
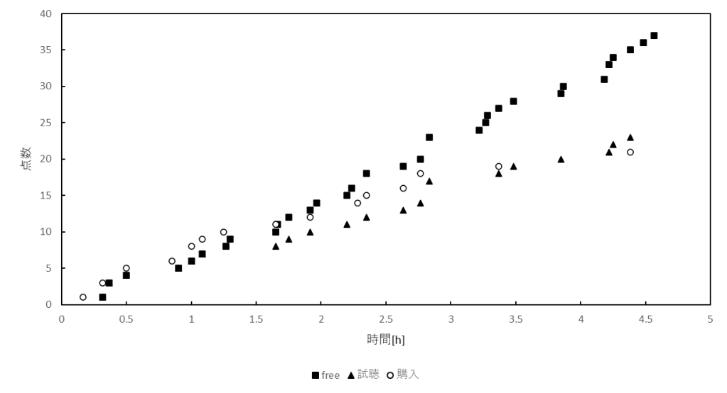
知見をいくらか加えて書く。その前に、グラフの横軸の時間[h]は開始時刻10:30を0としてカウントしていることにご注意を。無料の頒布物を手に取った人の中で、アルバムの試聴をしてくれた割合は60.6%でした。イラストからアルバムに対する期待をある程度は抱かせることができたと思う。視聴してくれた方の中で手に取るのを決めた割合は47.8%でした。音をよくすることに努力した半年だったので、すごく報われた気持ちです。これら2つの割合を掛け合わせることで、無料の頒布物を配ることで売れる割合は28.9%であることがわかりました。母数がとても少ないので統計的に有意な数字ではありませんが、時間当たりの無料の頒布、視聴回数の傾きがかなり綺麗に出ており、少なくとも10%の誤差の中には納まっていると思われます。また、購買意欲の大きい客層であることは言うまでもないので、一般的なシーンにおいてこの数字は意味を持たないことにご注意を。
⑤キャッシュフロー

大赤字……(既視感)。相変わらず頒布予定のものが全て売れたとしても回収できないデザインとなっております。それにしても、前回より赤字額が大きくなっている気がするのは僕だけでしょうか……。
最後に、ブースを作るにあたっての問題点をどう改善したかについて書きました。
「M3準備備忘録【M3-2021秋】」に3件のコメントがあります